Официальное опубликование правовых актов
ОФИЦИАЛЬНОЕ ОПУБЛИКОВАНИЕ
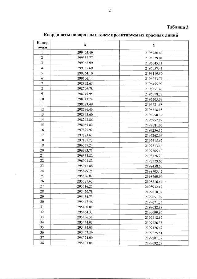
Постановление Правительства Воронежской области от 29.08.2018 № 740
"Об утверждении проекта планировки территории для размещения объекта регионального значения: "Строительство участка автомобильной дороги "Богучар – Монастырщина - Сухой Донец - 1-я Белая Горка" - с. Каразеево в Богучарском муниципальном районе Воронежской области"
Номер опубликования: 3600201809030010
Дата опубликования: 03.09.2018
Страница №23 из 89:
Увеличить