Официальное опубликование правовых актов
ОФИЦИАЛЬНОЕ ОПУБЛИКОВАНИЕ
Постановление правительства Воронежской области от 05.07.2018 № 594
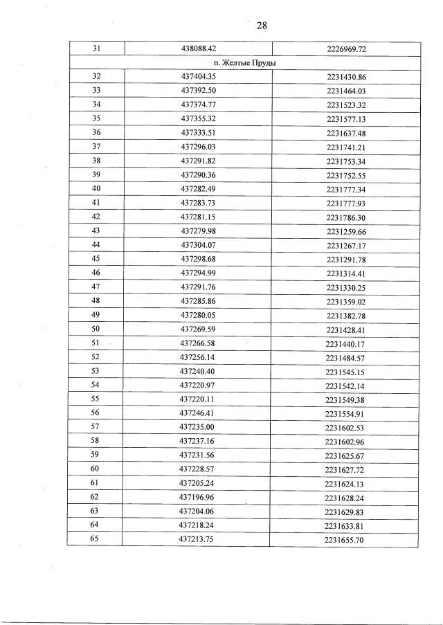
"Об утверждении проекта планировки территории для размещения объекта регионального значения: "Межпоселковый газопровод от п. Долиновский до п. Соколовский, п. Желтые Пруды, п. Карачановский. Газораспределительные сети п. Соколовский, п. Желтые Пруды, п. Карачановский, Новохопёрский муниципальный район"
Номер опубликования: 3600201807110009
Дата опубликования: 11.07.2018
Страница №30 из 82:
Увеличить