Официальное опубликование правовых актов
ОФИЦИАЛЬНОЕ ОПУБЛИКОВАНИЕ
Постановление правительства Воронежской области от 05.07.2018 № 595
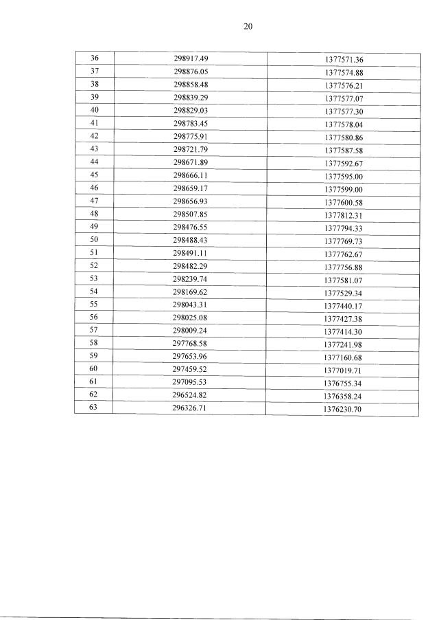
"Об утверждении проекта планировки территории для размещения объекта регионального значения: "Строительство автомобильной дороги "Кантемировка – Титаревка – Ивановка" – п. Коваленковский в Кантемировском муниципальном районе Воронежской области"
Номер опубликования: 3600201807110005
Дата опубликования: 11.07.2018
Страница №22 из 42:
Увеличить