Официальное опубликование правовых актов
ОФИЦИАЛЬНОЕ ОПУБЛИКОВАНИЕ
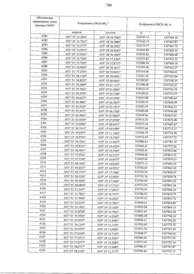
Постановление правительства Воронежской области от 21.02.2018 № 180
"Об утверждении границ и режимов особой охраны территорий отдельных памятников природы областного значения и о внесении изменений в постановление администрации Воронежской области от 28.05.1998 № 500"
Номер опубликования: 3600201802280007
Дата опубликования: 28.02.2018
Страница №793 из 870:
Увеличить