Официальное опубликование правовых актов
ОФИЦИАЛЬНОЕ ОПУБЛИКОВАНИЕ
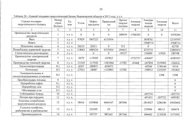
Указ губернатора Воронежской области от 13.11.2017 № 463-у
"Об утверждении схемы и программы перспективного развития электроэнергетики Воронежской области на 2018 – 2022 годы"
Номер опубликования: 3600201711140001
Дата опубликования: 14.11.2017
Страница №30 из 90:
Увеличить