Официальное опубликование правовых актов
ОФИЦИАЛЬНОЕ ОПУБЛИКОВАНИЕ
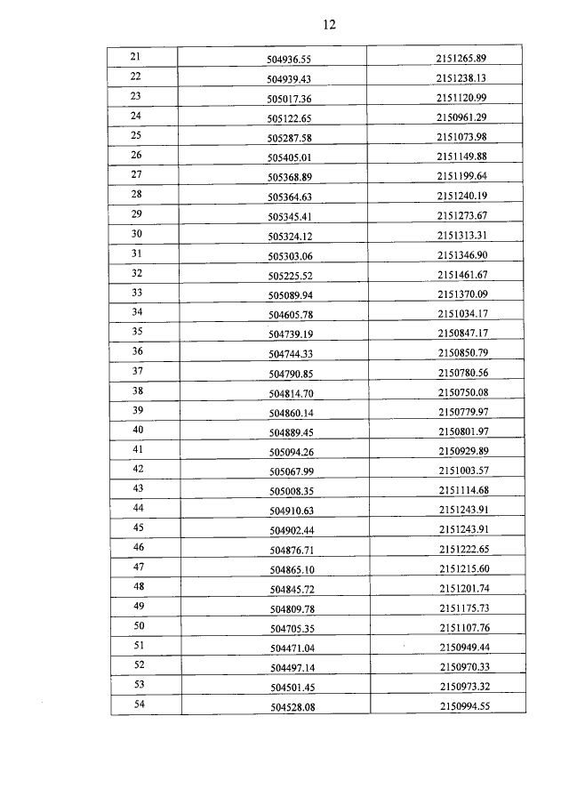
Постановление правительства Воронежской области от 06.09.2017 № 697
"Об утверждении проекта планировки территории для размещения объекта регионального значения: "Газовые распределительные сети п. Росташевка Панинского муниципального района Воронежской области"
Номер опубликования: 3600201709110012
Дата опубликования: 11.09.2017
Страница №14 из 34:
Увеличить