Официальное опубликование правовых актов
ОФИЦИАЛЬНОЕ ОПУБЛИКОВАНИЕ
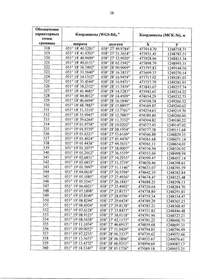
Постановление правительства Воронежской области от 05.06.2017 № 455
"О создании государственного природного заказника областного значения "Степная балка в окрестностях с. Острянка"
Номер опубликования: 3600201706090014
Дата опубликования: 09.06.2017
Страница №39 из 40:
Увеличить