Официальное опубликование правовых актов
ОФИЦИАЛЬНОЕ ОПУБЛИКОВАНИЕ
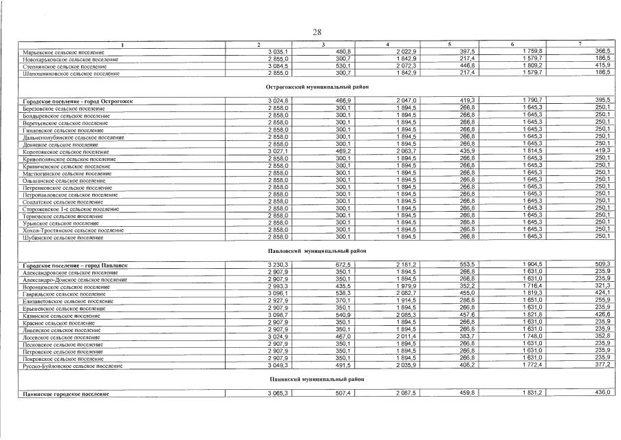
Постановление правительства Воронежской области от 01.06.2017 № 432
"О региональных стандартах стоимости жилищно-коммунальных услуг на 2017 год по Воронежской области"
Номер опубликования: 3600201706050001
Дата опубликования: 05.06.2017
Страница №29 из 33:
Увеличить