Постановление правительства Воронежской области от 20.04.2017 № 320
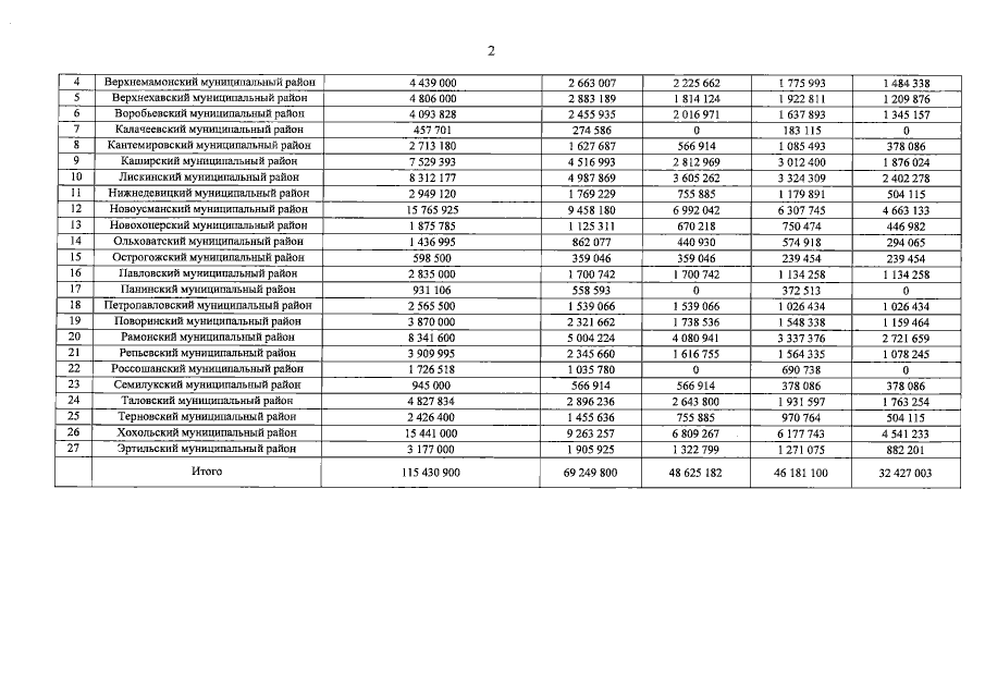
"О распределении субсидий из областного бюджета бюджетам муниципальных образований Воронежской области на улучшение жилищных условий граждан, проживающих в сельской местности, в том числе молодых семей и молодых специалистов, проживающих и работающих на селе, на 2017 год"
"О распределении субсидий из областного бюджета бюджетам муниципальных образований Воронежской области на улучшение жилищных условий граждан, проживающих в сельской местности, в том числе молодых семей и молодых специалистов, проживающих и работающих на селе, на 2017 год"
Номер опубликования: 3600201704250013
Дата опубликования:
25.04.2017
