Официальное опубликование правовых актов
ОФИЦИАЛЬНОЕ ОПУБЛИКОВАНИЕ
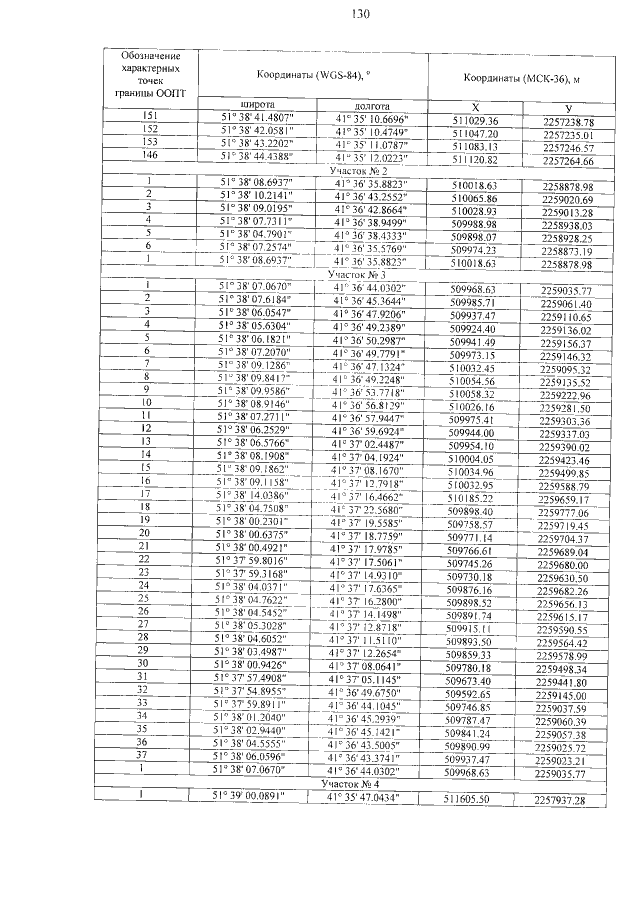
Постановление правительства Воронежской области от 02.02.2017 № 61
"Об утверждении границ и режимов особой охраны территорий отдельных памятников природы областного значения и о внесении изменений в отдельные постановления администрации правительства Воронежской области"
Номер опубликования: 3600201702070018
Дата опубликования: 07.02.2017
Страница №142 из 188:
Увеличить