Официальное опубликование правовых актов
ОФИЦИАЛЬНОЕ ОПУБЛИКОВАНИЕ
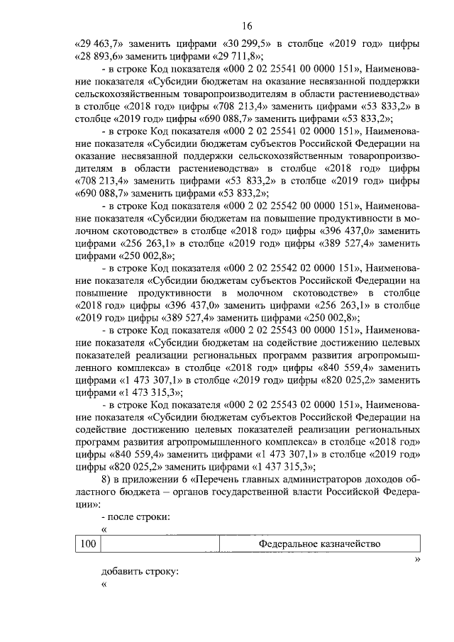
Закон Воронежской области от 03.02.2017 № 6-ОЗ
"О внесении изменений в Закон Воронежской области "Об областном бюджете на 2017 год и на плановый период 2018 и 2019 годов"
Номер опубликования: 3600201702060005
Дата опубликования: 06.02.2017
Страница №16 из 425:
Увеличить