Официальное опубликование правовых актов
ОФИЦИАЛЬНОЕ ОПУБЛИКОВАНИЕ
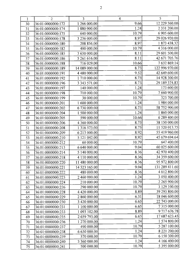
Постановление правительства Воронежской области от 31.10.2016 № 827
"Об утверждении результатов определения кадастровой стоимости земельных участков в составе земель сельскохозяйственного назначения Воронежской области"
Номер опубликования: 3600201611080005
Дата опубликования: 08.11.2016
Страница №4 из 5686:
Увеличить