Официальное опубликование правовых актов
ОФИЦИАЛЬНОЕ ОПУБЛИКОВАНИЕ
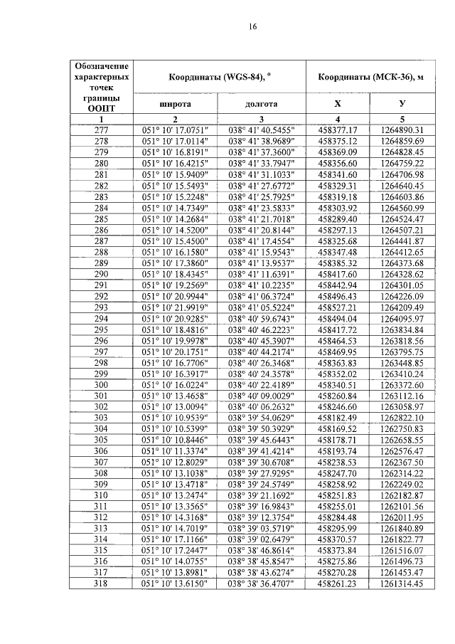
Постановление правительства Воронежской области от 04.05.2016 № 316
"Об утверждении Положения о государственном комплексном природном заказнике областного значения "Краснолипьевский"
Номер опубликования: 3600201605100022
Дата опубликования: 10.05.2016
Страница №17 из 24:
Увеличить