Официальное опубликование правовых актов
ОФИЦИАЛЬНОЕ ОПУБЛИКОВАНИЕ
Постановление правительства Воронежской области от 13.04.2016 № 252
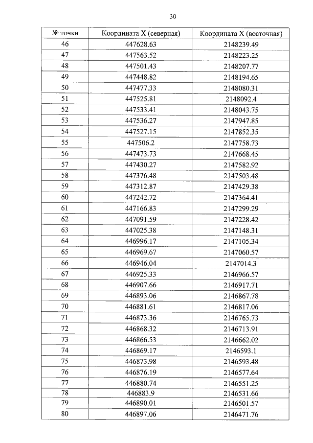
"Об утверждении проекта планировки территории для размещения объекта регионального значения: "Строительство автомобильной дороги Юго-восточный обход г. Боброва в Бобровском муниципальном районе Воронежской области"
Номер опубликования: 3600201604150001
Дата опубликования: 15.04.2016
Страница №32 из 90:
Увеличить