Официальное опубликование правовых актов
ОФИЦИАЛЬНОЕ ОПУБЛИКОВАНИЕ
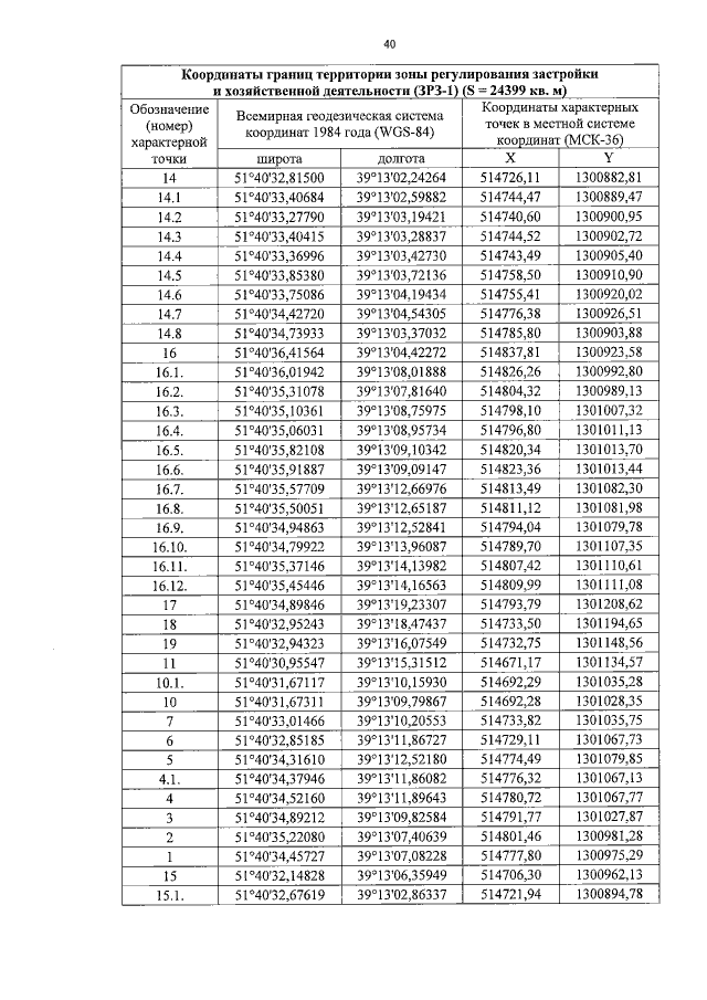
Постановление правительства Воронежской области от 30.11.2015 № 931
"Об утверждении границ зон охраны объектов культурного наследия федерального значения, расположенных на территории городского округа город Воронеж, режимов использования земель и требований к градостроительным регламентам в границах указанных зон"
Номер опубликования: 3600201512040005
Дата опубликования: 04.12.2015
Страница №42 из 69:
Увеличить