Официальное опубликование правовых актов
ОФИЦИАЛЬНОЕ ОПУБЛИКОВАНИЕ
Постановление правительства Воронежской области от 29.10.2015 № 836
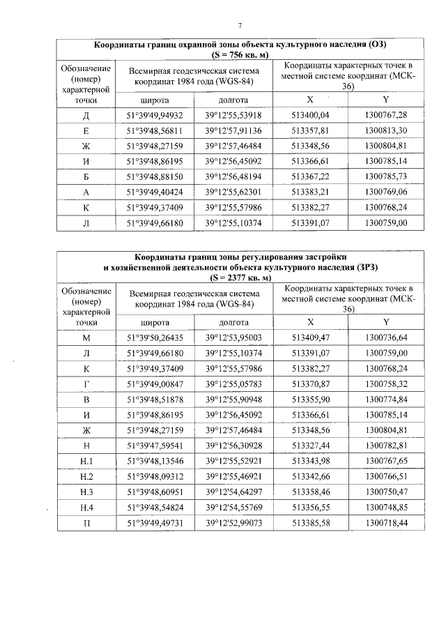
"Об утверждении границ зон охраны объектов культурного наследия регионального значения, расположенных на территории городского округа город Воронеж, режимов использования земель и требований к градостроительным регламентам в границах указанных зон"
Номер опубликования: 3600201511060009
Дата опубликования: 06.11.2015
Страница №9 из 1284:
Увеличить