Официальное опубликование правовых актов
ОФИЦИАЛЬНОЕ ОПУБЛИКОВАНИЕ
Постановление правительства Воронежской области от 29.04.2015 № 327
"О внесении изменений в постановление правительства Воронежской области от 31.12.2013 № 1188"
Номер опубликования: 3600201505060001
Дата опубликования: 06.05.2015
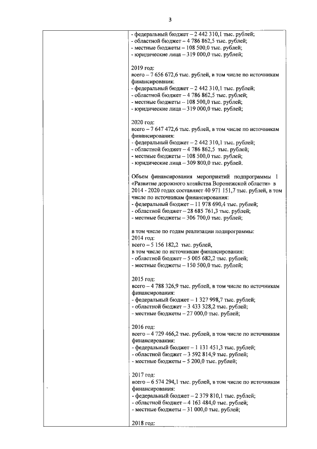
Страница №4 из 164:
Увеличить