Официальное опубликование правовых актов
ОФИЦИАЛЬНОЕ ОПУБЛИКОВАНИЕ
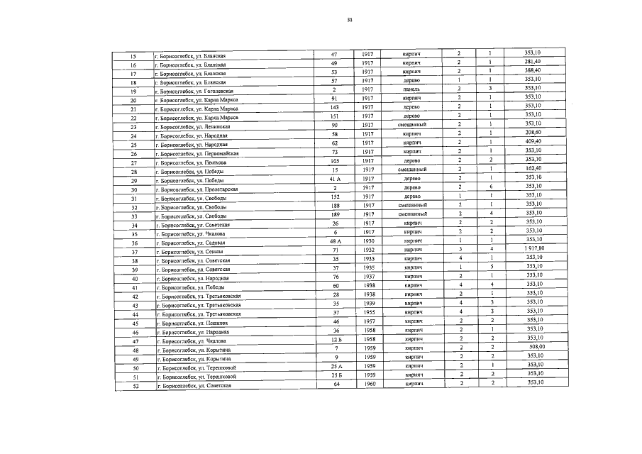
Постановление правительства Воронежской области от 27.02.2015 № 111
"О внесении изменений в постановление правительства Воронежской области от 06.03.2014 № 183"
Номер опубликования: 3600201503060028
Дата опубликования: 06.03.2015
Страница №32 из 242:
Увеличить