Официальное опубликование правовых актов
ОФИЦИАЛЬНОЕ ОПУБЛИКОВАНИЕ
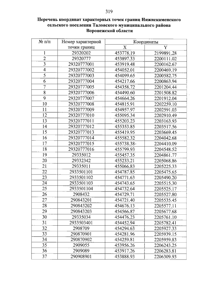
Закон Воронежской области от 30.12.2014 № 211-ОЗ
"О внесении изменений в Закон Воронежской области "Об установлении границ, наделении соответствующим статусом, определении административных центров муниципальных образований Грибановского, Каширского, Острогожского, Семилукского, Таловского, Хохольского районов и города Нововоронеж"
Номер опубликования: 3600201501080027
Дата опубликования: 08.01.2015
Страница №319 из 438:
Увеличить