Официальное опубликование правовых актов
ОФИЦИАЛЬНОЕ ОПУБЛИКОВАНИЕ
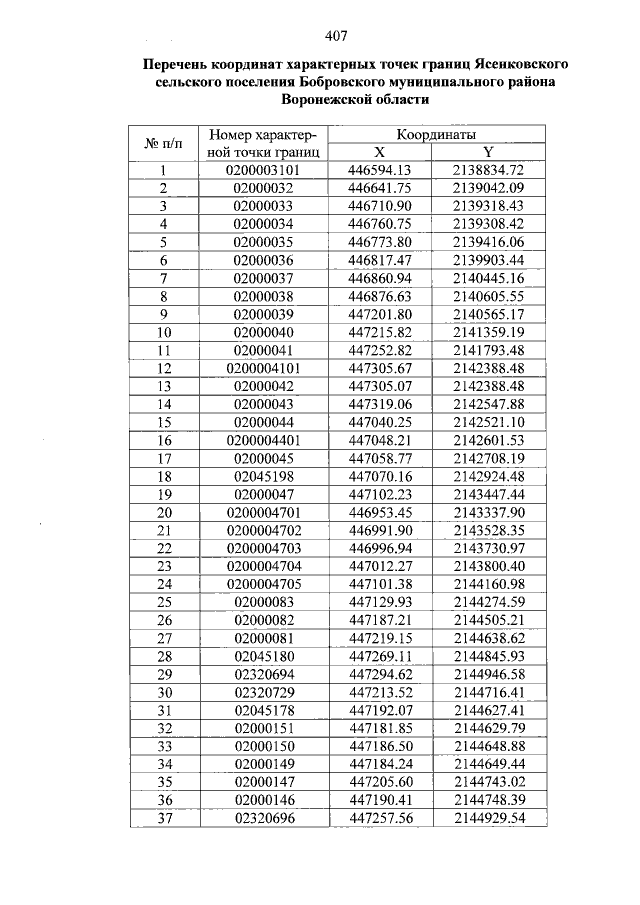
Закон Воронежской области от 30.12.2014 № 210-ОЗ
"О внесении изменений в Закон Воронежской области "Об установлении границ, наделении соответствующим статусом, определении административных центров муниципальных образований Бобровского, Воробьевского, Кантемировского районов"
Номер опубликования: 3600201501080025
Дата опубликования: 08.01.2015
Страница №407 из 412:
Увеличить