Официальное опубликование правовых актов
ОФИЦИАЛЬНОЕ ОПУБЛИКОВАНИЕ
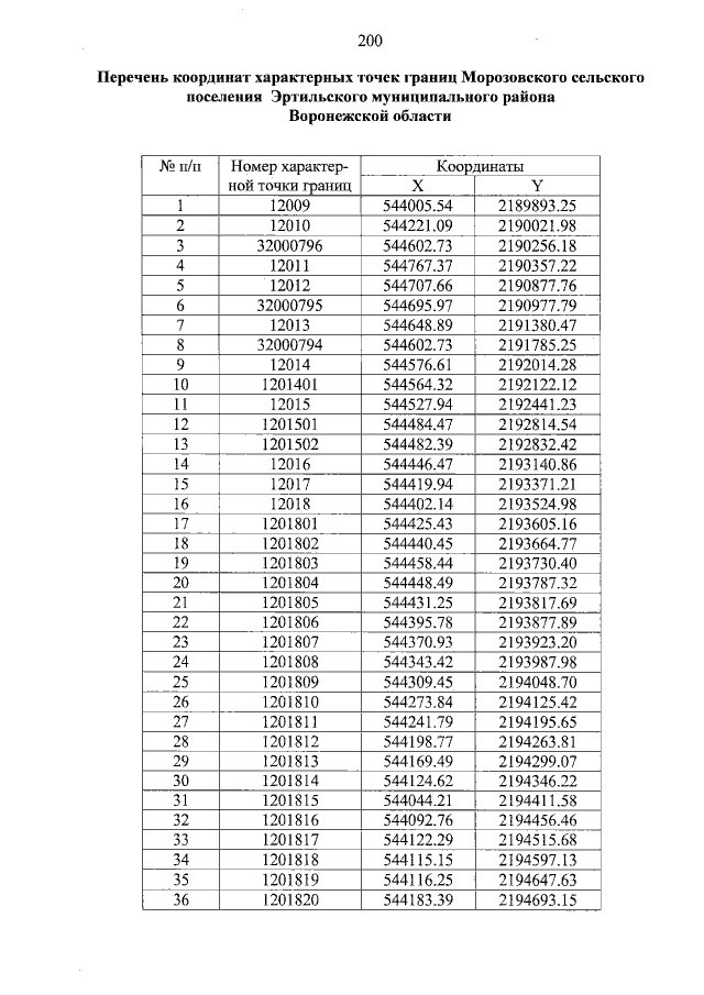
Закон Воронежской области от 30.12.2014 № 206-ОЗ
"О внесении изменений в отдельные законодательные акты Воронежской области в связи с изменением границ некоторых муниципальных образований Воронежской области"
Номер опубликования: 3600201501080013
Дата опубликования: 08.01.2015
Страница №200 из 316:
Увеличить