Официальное опубликование правовых актов
ОФИЦИАЛЬНОЕ ОПУБЛИКОВАНИЕ
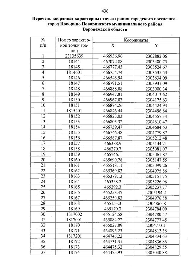
Закон Воронежской области от 30.12.2014 № 195-ОЗ
"О внесении изменений в отдельные законодательные акты Воронежской области в связи с изменением границ некоторых муниципальных образований Воронежской области"
Номер опубликования: 3600201501080002
Дата опубликования: 08.01.2015
Страница №436 из 564:
Увеличить