Официальное опубликование правовых актов
ОФИЦИАЛЬНОЕ ОПУБЛИКОВАНИЕ
Закон Воронежской области от 30.12.2014 № 214-ОЗ
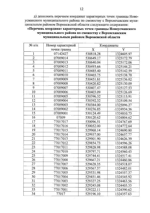
"О внесении изменений в закон Воронежской области "Об установлении границ, наделении соответствующим статусом, определении административных центров муниципальных образований Новоусманского и Рамонского районов"
Номер опубликования: 3600201501040037
Дата опубликования: 04.01.2015
Страница №12 из 299:
Увеличить