Официальное опубликование правовых актов
ОФИЦИАЛЬНОЕ ОПУБЛИКОВАНИЕ
Закон Воронежской области от 30.12.2014 № 215-ОЗ
"О внесении изменений в закон Воронежской области "Об установлении границ, наделении соответствующим статусом, определении административных центров муниципальных образований Верхнехавского района"
Номер опубликования: 3600201501040036
Дата опубликования: 04.01.2015
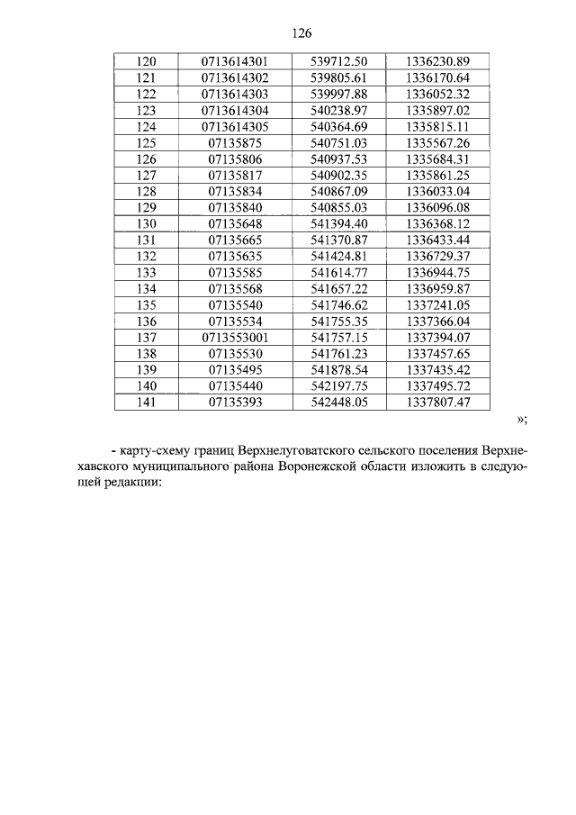
Страница №126 из 289:
Увеличить