Официальное опубликование правовых актов
ОФИЦИАЛЬНОЕ ОПУБЛИКОВАНИЕ
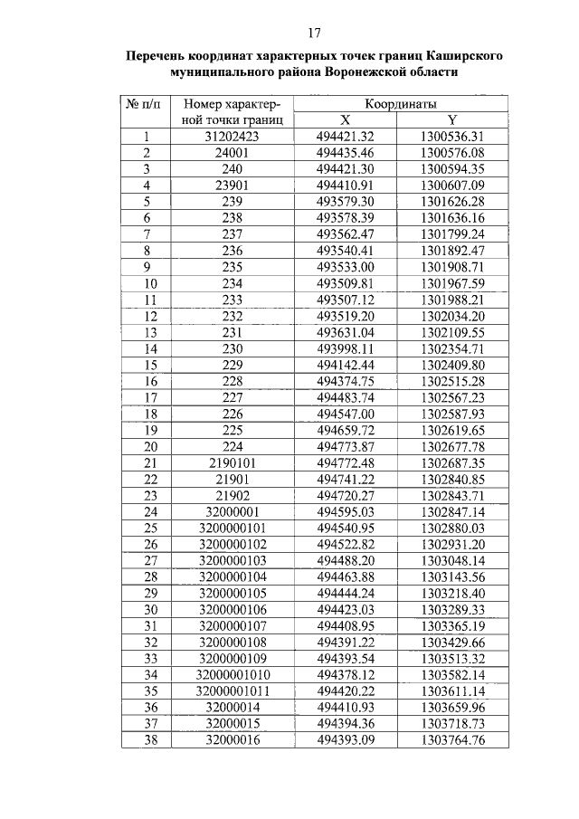
Закон Воронежской области от 30.12.2014 № 205-ОЗ
"О внесении изменений в отдельные законодательные акты Воронежской области в связи с изменением границ некоторых муниципальных образований Воронежской области"
Номер опубликования: 3600201501040031
Дата опубликования: 04.01.2015
Страница №17 из 279:
Увеличить