Официальное опубликование правовых актов
ОФИЦИАЛЬНОЕ ОПУБЛИКОВАНИЕ
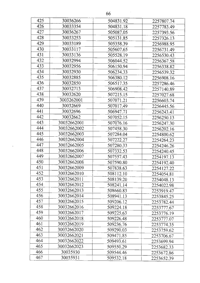
Закон Воронежской области от 11.12.2014 № 178-ОЗ
"О внесении изменений в Закон Воронежской области "Об установлении границ, наделении соответствующим статусом, определении административных центров отдельных муниципальных образований Воронежской области"
Номер опубликования: 3600201412160020
Дата опубликования: 16.12.2014
Страница №66 из 200:
Увеличить