Официальное опубликование правовых актов
ОФИЦИАЛЬНОЕ ОПУБЛИКОВАНИЕ
Закон Воронежской области от 11.12.2014 № 176-ОЗ
"О внесении изменений в отдельные законодательные акты Воронежской области в связи c изменением границ некоторых муниципальных образований Воронежской области"
Номер опубликования: 3600201412160001
Дата опубликования: 16.12.2014
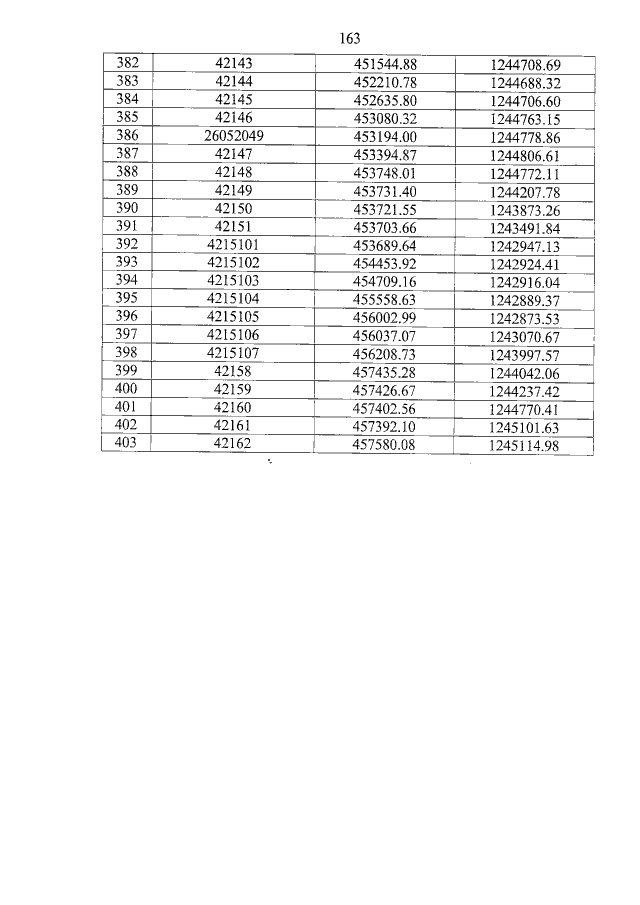
Страница №163 из 210:
Увеличить