Официальное опубликование правовых актов
ОФИЦИАЛЬНОЕ ОПУБЛИКОВАНИЕ
Приказ Министерства лесного комплекса Вологодской области от 02.04.2026 № 362
"Об изменении границ земель, на которых расположены леса, расположенные в зеленых зонах, на территории Харовского лесничества Вологодской области"
(Зарегистрирован 02.04.2026 № 362)
Номер опубликования: 3501202604060002
Дата опубликования: 06.04.2026
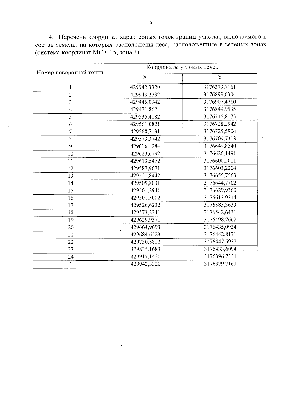
Страница №6 из 6:
Увеличить