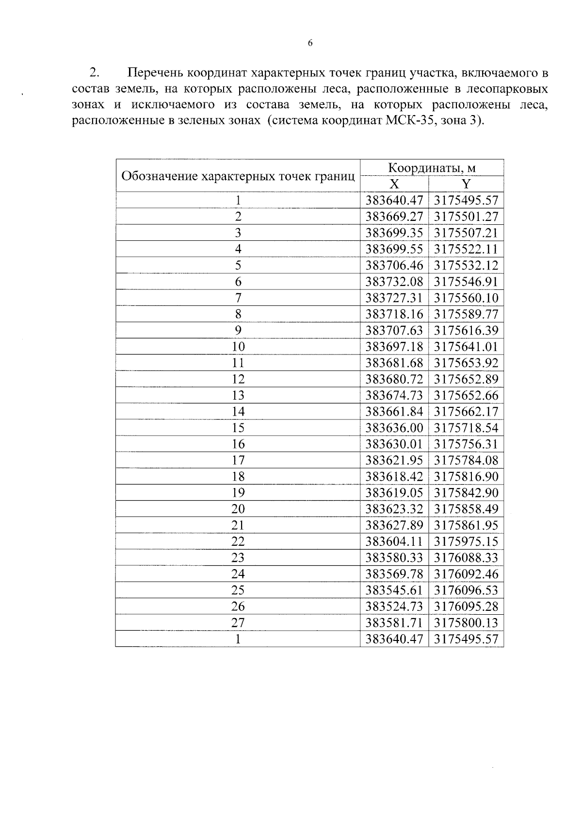
Приказ Министерства лесного комплекса Вологодской области от 19.12.2025 № 1547
"Об изменении границ земель, на которых расположены леса, расположенные в зеленых и лесопарковых зонах, на территории Сокольского лесничества Вологодской области"
(Зарегистрирован 19.12.2025 № 1547 )
"Об изменении границ земель, на которых расположены леса, расположенные в зеленых и лесопарковых зонах, на территории Сокольского лесничества Вологодской области"
(Зарегистрирован 19.12.2025 № 1547 )
Номер опубликования: 3501202512220092
Дата опубликования:
22.12.2025
