Официальное опубликование правовых актов
ОФИЦИАЛЬНОЕ ОПУБЛИКОВАНИЕ
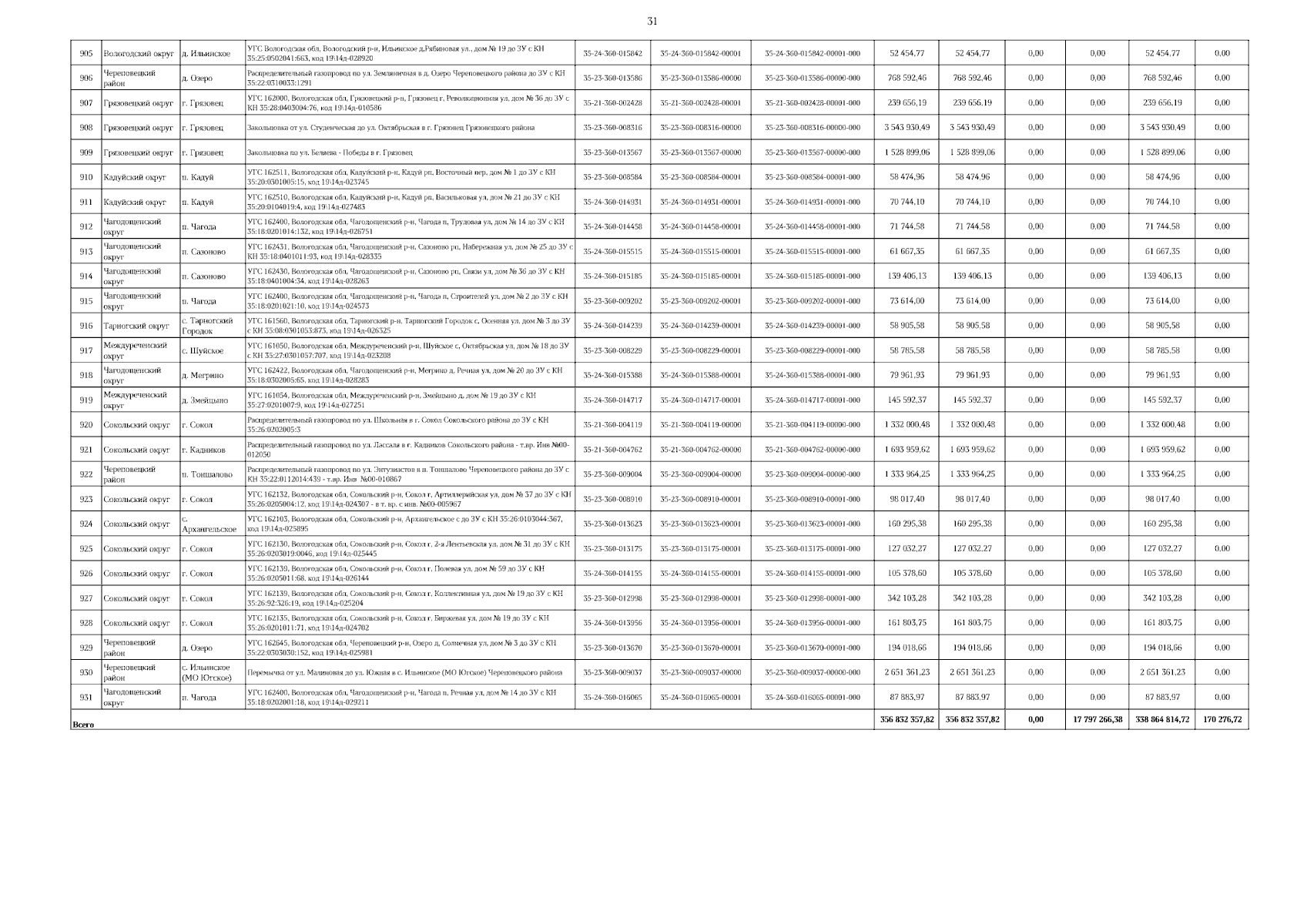
Приказ Министерства энергетики, коммунальной инфраструктуры и тарифного регулирования Вологодской области от 22.08.2025 № 131-р
"Об утверждении размера экономически обоснованных расходов АО "Газпром газораспределения Вологда" на выполнение мероприятий по технологическому присоединению газоиспользующего оборудования к газораспределительным сетям в рамках догазификации и в рамках догазификации котельных за 1 квартал 2025 года"
(Зарегистрирован 22.08.2025 № 131-р)
Номер опубликования: 3501202508250006
Дата опубликования: 25.08.2025
Страница №31 из 31:
Увеличить