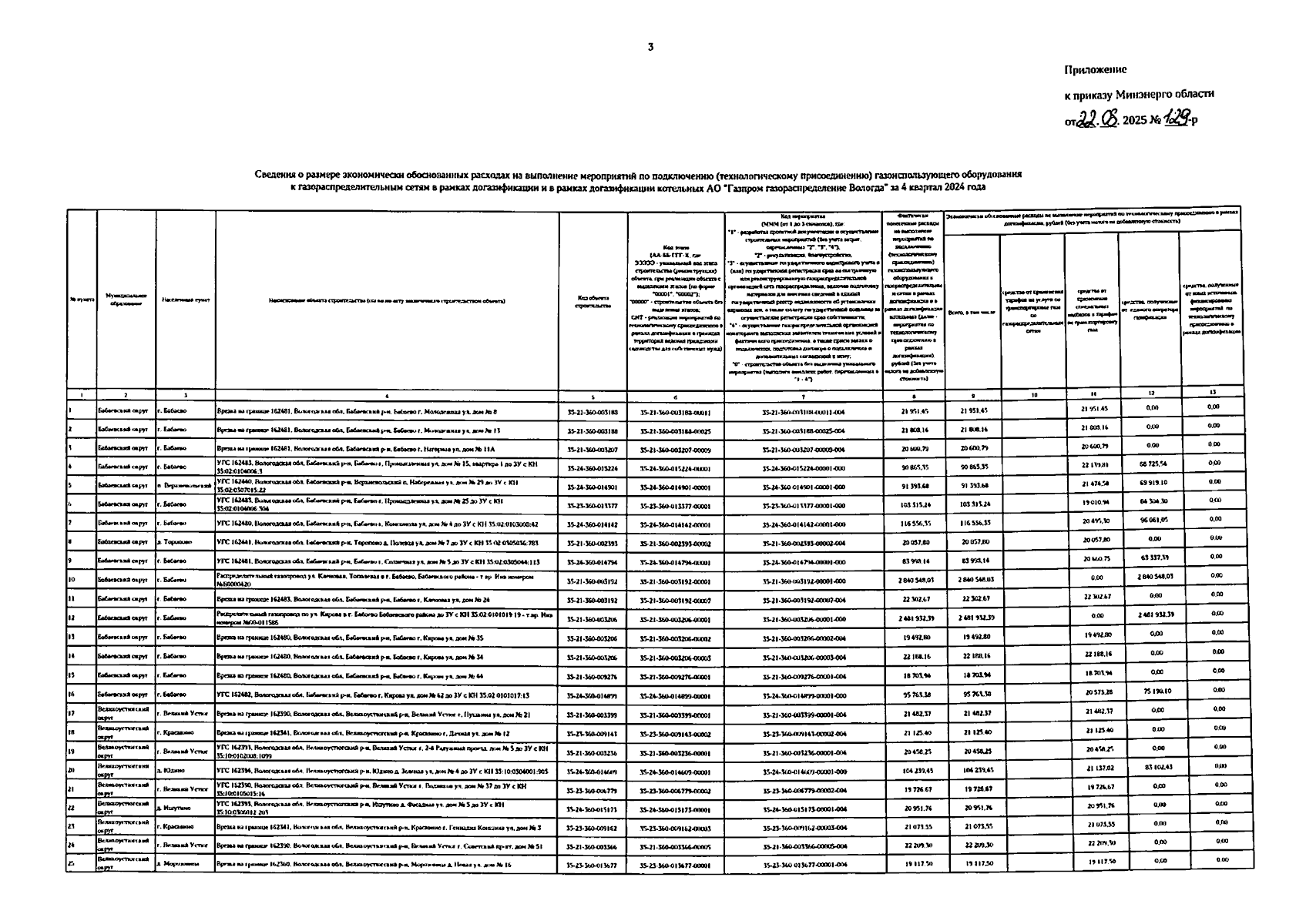
Приказ Министерства энергетики, коммунальной инфраструктуры и тарифного регулирования Вологодской области от 22.08.2025 № 129-р
"Об утверждении размера экономически обоснованных расходов АО "Газпром газораспределение Вологда" на выполнение мероприятий по технологическому присоединению газоиспользующего оборудования к газораспределительным сетям в рамках догазификации и в рамках догазификации котельных за 4 квартал 2024 года"
(Зарегистрирован 22.08.2025 № 129-р)
"Об утверждении размера экономически обоснованных расходов АО "Газпром газораспределение Вологда" на выполнение мероприятий по технологическому присоединению газоиспользующего оборудования к газораспределительным сетям в рамках догазификации и в рамках догазификации котельных за 4 квартал 2024 года"
(Зарегистрирован 22.08.2025 № 129-р)
Номер опубликования: 3501202508250002
Дата опубликования:
25.08.2025
