Приказ Министерства энергетики, коммунальной инфраструктуры и тарифного регулирования Вологодской области от 22.08.2025 № 130-р
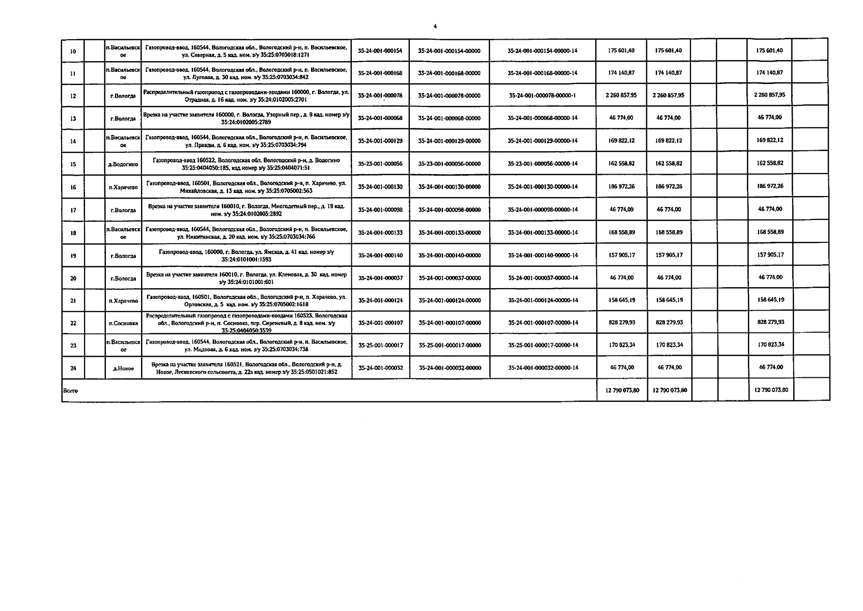
"Об утверждении размера экономически обоснованных расходов ООО "СЕВЕРГАЗ ЭКСПЛУАТАЦИЯ" на выполнение мероприятий по технологическому присоединению газоиспользующего оборудования к газораспределительным сетям в рамках догазификации и в рамках догазификации котельных за 1 квартал 2025 года"
(Зарегистрирован 22.08.2025 № 130-р)
"Об утверждении размера экономически обоснованных расходов ООО "СЕВЕРГАЗ ЭКСПЛУАТАЦИЯ" на выполнение мероприятий по технологическому присоединению газоиспользующего оборудования к газораспределительным сетям в рамках догазификации и в рамках догазификации котельных за 1 квартал 2025 года"
(Зарегистрирован 22.08.2025 № 130-р)
Номер опубликования: 3501202508220002
Дата опубликования:
22.08.2025
