Приказ Министерства труда и занятости населения Вологодской области от 30.05.2025 № 206
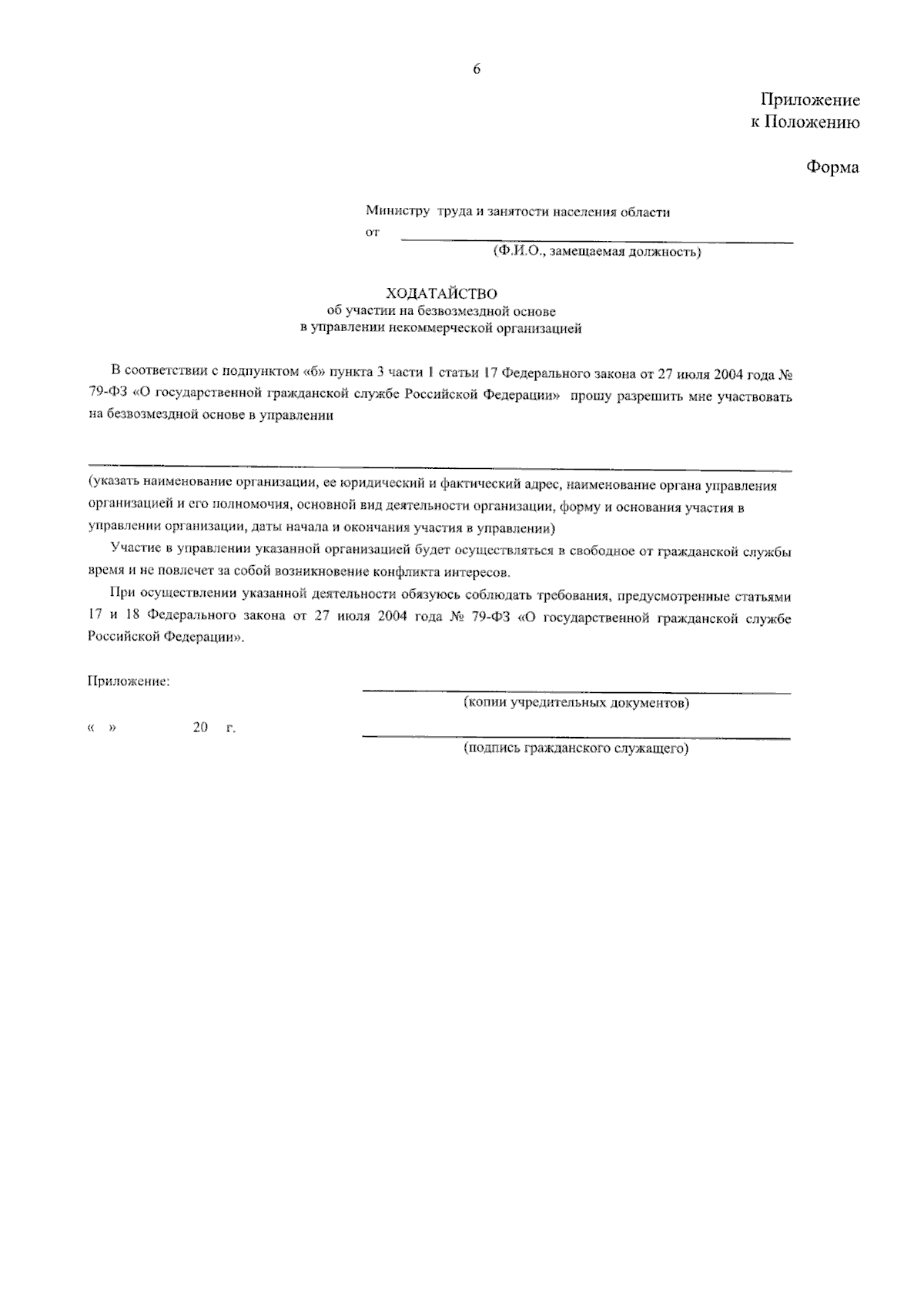
"Об утверждении Положения о порядке получения государственным гражданским служащим Министерства труда и занятости населения области разрешения на участие на безвозмездной основе в управлении отдельными некоммерческими организациями"
(Зарегистрирован 30.05.2025 № 206)
"Об утверждении Положения о порядке получения государственным гражданским служащим Министерства труда и занятости населения области разрешения на участие на безвозмездной основе в управлении отдельными некоммерческими организациями"
(Зарегистрирован 30.05.2025 № 206)
Номер опубликования: 3501202506030010
Дата опубликования:
03.06.2025
