Официальное опубликование правовых актов
ОФИЦИАЛЬНОЕ ОПУБЛИКОВАНИЕ
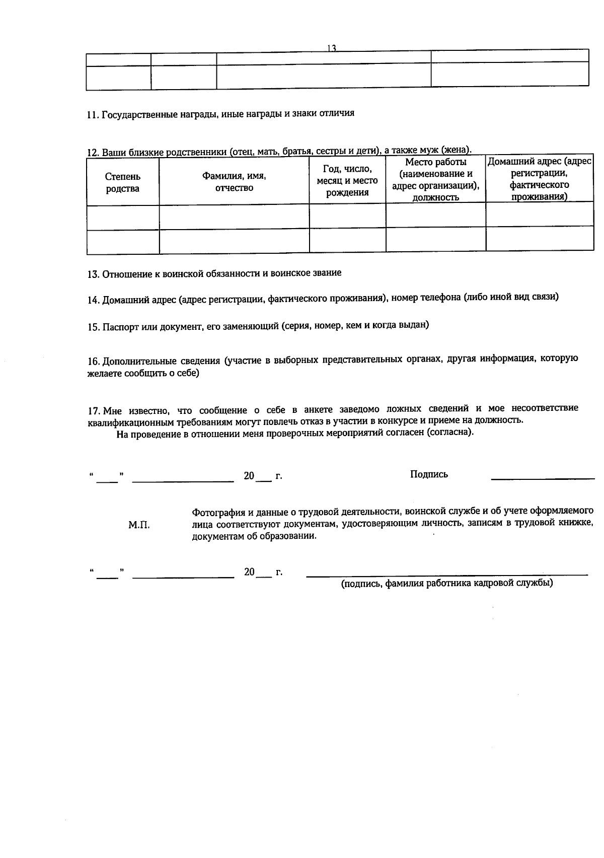
Приказ Министерства имущественных отношений и градостроительной деятельности Вологодской области от 16.04.2025 № 76-н
"Об утверждении Положения о конкурсе на замещение вакантной должности руководителя государственного учреждения области, подведомственного Министерству имущественных отношений и градостроительной деятельности Вологодской области, и на включение в кадровый резерв"
(Зарегистрирован 16.04.2025 № 76-н)
Номер опубликования: 3501202504170002
Дата опубликования: 17.04.2025
Страница №13 из 17:
Увеличить