Официальное опубликование правовых актов
ОФИЦИАЛЬНОЕ ОПУБЛИКОВАНИЕ
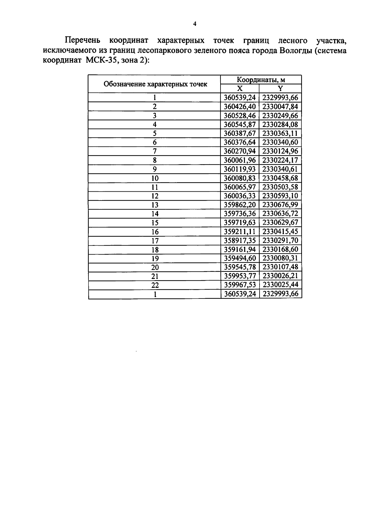
Приказ Министерства природных ресурсов и экологии Вологодской области от 15.04.2025 № 460
"Об изменении границ лесопаркового зеленого пояса города Вологды"
(Зарегистрирован 15.04.2025 № 460)
Номер опубликования: 3501202504150016
Дата опубликования: 15.04.2025
Страница №4 из 11:
Увеличить