Приказ Министерства природных ресурсов и экологии Вологодской области от 21.03.2025 № 374
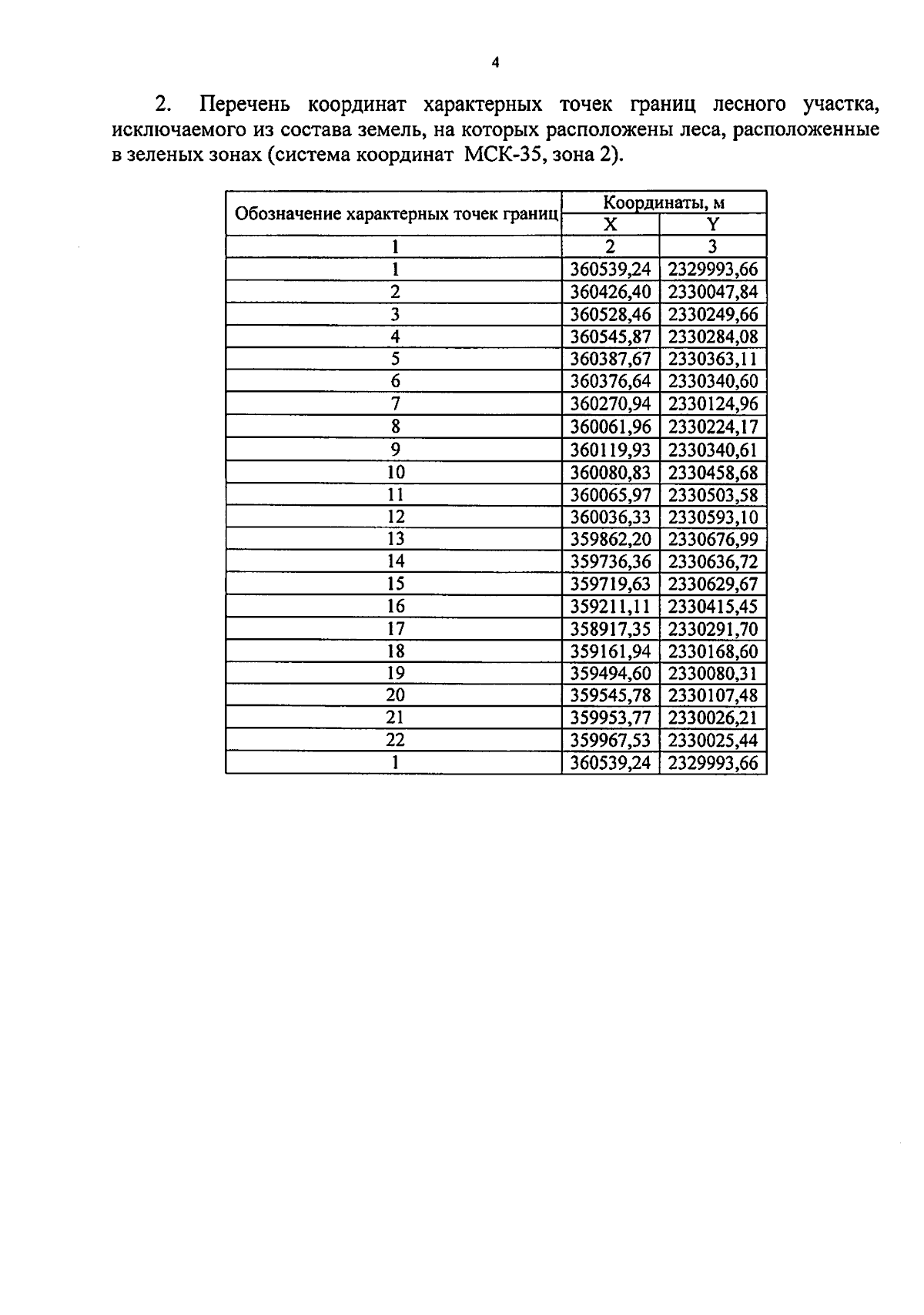
"Об изменении границ земель, на которых расположены леса, расположенные в зеленых зонах, на территории Вологодского лесничества Вологодской области"
(Зарегистрирован 21.03.2025 № 374)
"Об изменении границ земель, на которых расположены леса, расположенные в зеленых зонах, на территории Вологодского лесничества Вологодской области"
(Зарегистрирован 21.03.2025 № 374)
Номер опубликования: 3501202503210008
Дата опубликования:
21.03.2025
