Официальное опубликование правовых актов
ОФИЦИАЛЬНОЕ ОПУБЛИКОВАНИЕ
Приказ Департамента топливно-энергетического комплекса и тарифного регулирования Вологодской области от 20.11.2024 № 279-р
"О внесении изменений в приказ Департамента топливно-энергетического комплекса и тарифного регулирования Вологодской области от 14 апреля 2022 года № 45-р"
(Зарегистрирован 20.11.2024 № 279-р)
Номер опубликования: 3501202411250002
Дата опубликования: 25.11.2024
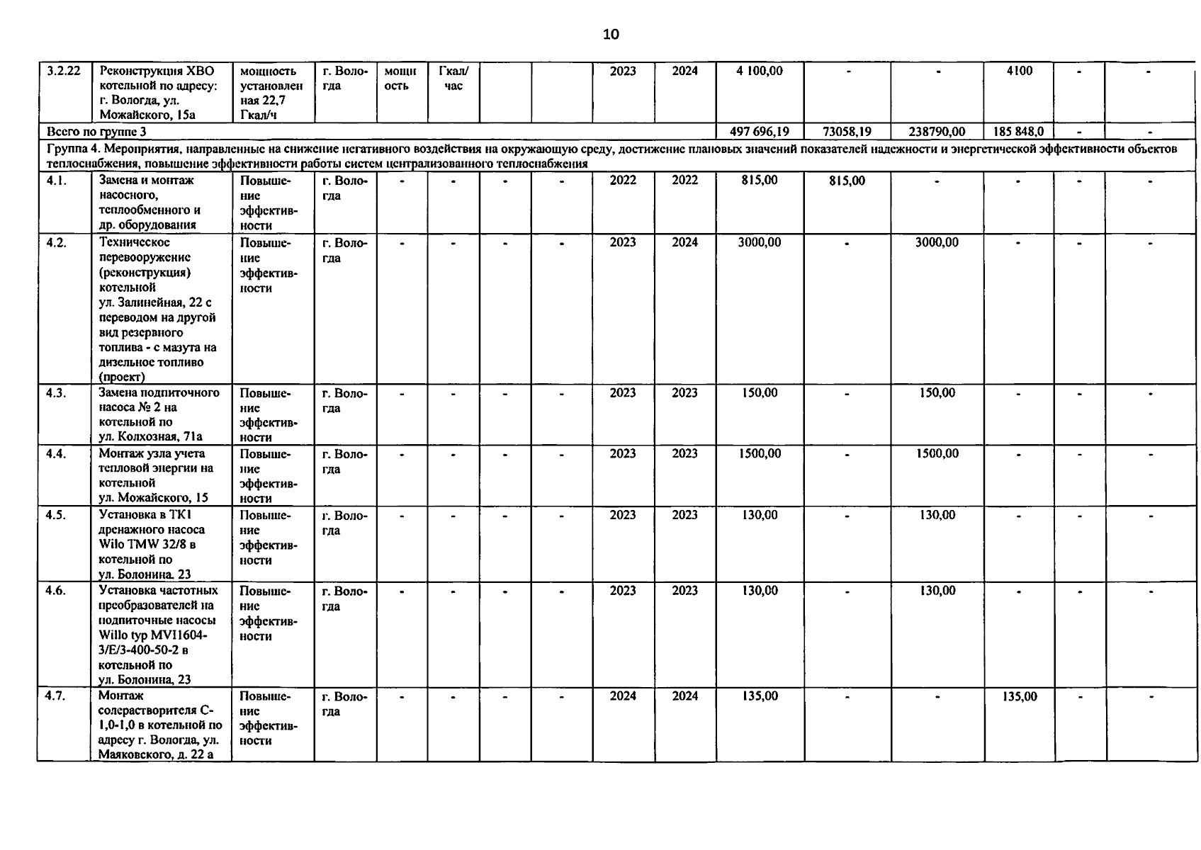
Страница №10 из 12:
Увеличить