Официальное опубликование правовых актов
ОФИЦИАЛЬНОЕ ОПУБЛИКОВАНИЕ
Приказ Комитета по охране объектов культурного наследия Вологодской области от 19.07.2024 № 3-О/01-13
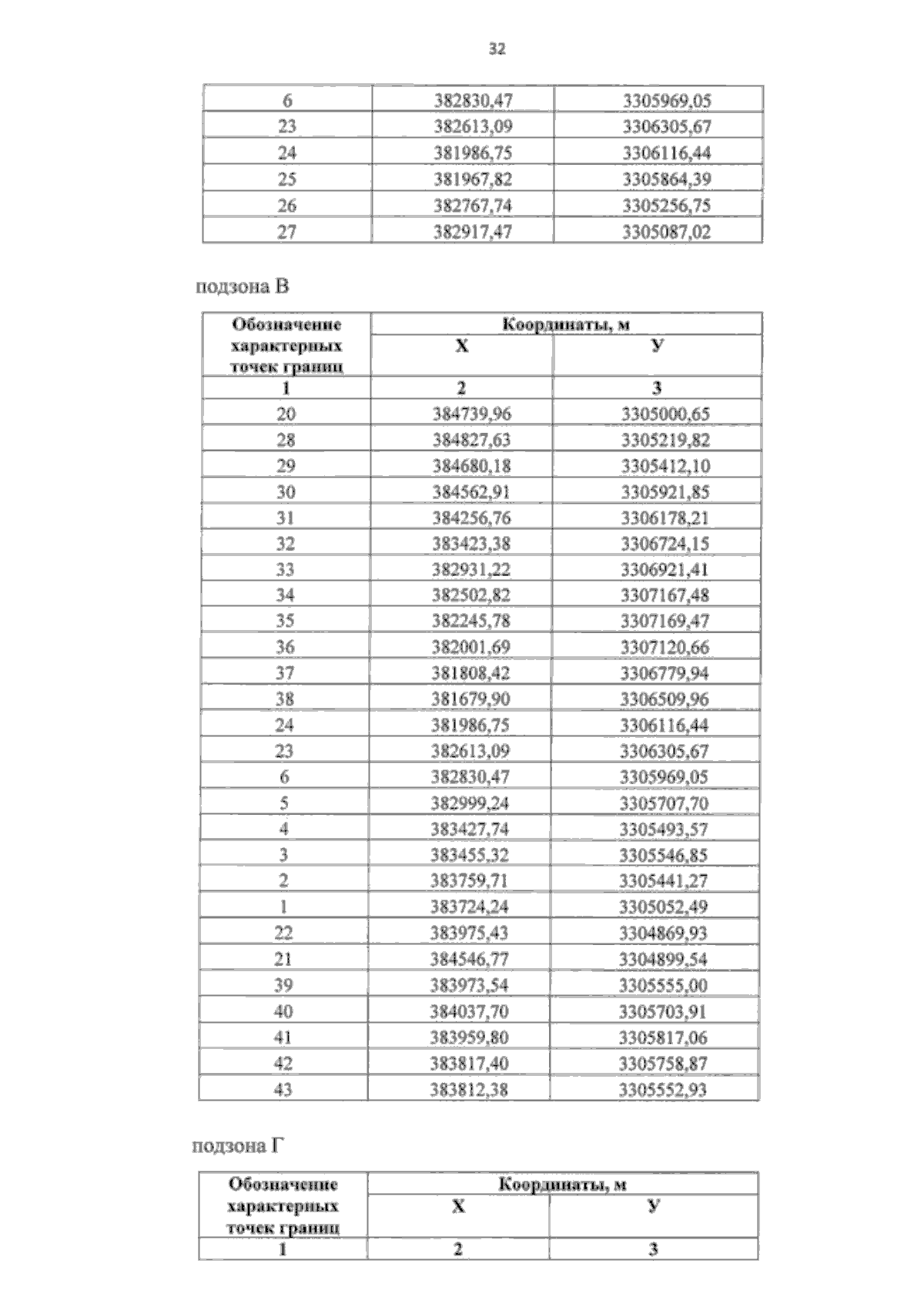
"О включении выявленного объекта культурного наследия "Село Никольское — духовная Родина Н.М. Рубцова", расположенного по адресу: Вологодская область, Тотемский район, село Никольское, в Единый государственный реестр объектов культурного наследия (памятников истории и культуры) народов Российской Федерации в качестве объекта культурного наследия регионального значения и утверждении его предмета охраны, границ территории и требований к осуществлению деятельности и градостроительным регламентам в границах территории объекта культурного наследия"
(Зарегистрирован 19.07.2024 № 3-О/01-13)
Номер опубликования: 3501202407190003
Дата опубликования: 19.07.2024
Страница №32 из 55:
Увеличить