Официальное опубликование правовых актов
ОФИЦИАЛЬНОЕ ОПУБЛИКОВАНИЕ
Приказ Комитета по охране объектов культурного наследия Вологодской области от 05.12.2023 № 12-О/01-13
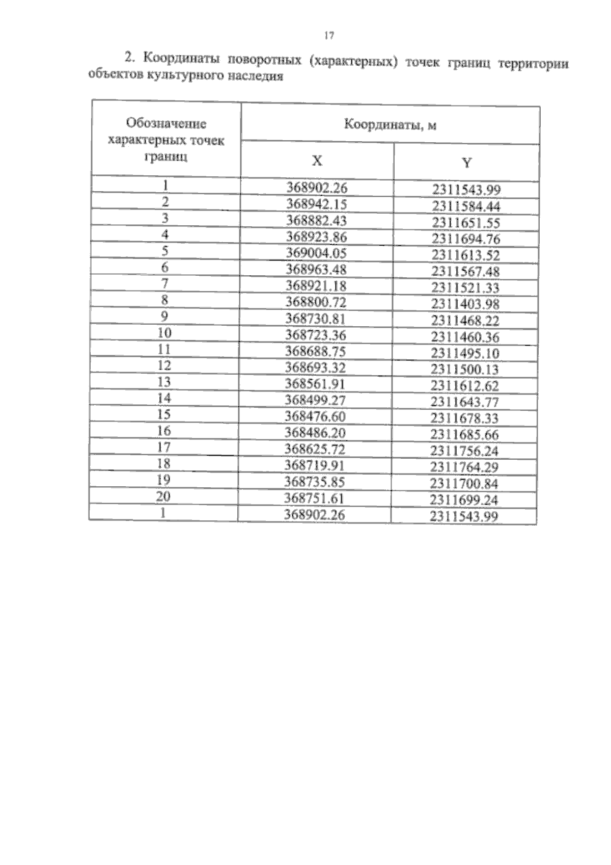
"О включении выявленных объектов культурного наследия в единый государственный реестр объектов культурного наследия (памятников истории и культуры) народов Российской Федерации в качестве объектов культурного наследия регионального значения в составе объекта культурного наследия регионального значения "Усадьба Спасское–Куркино", XVIII– нач. XX вв., по адресу: Вологодская область, Вологодский район, с. Куркино, ул. Парковая, 14 (уточненный адрес: с. Куркино, ул. Школьная, 15) и утверждения их предмета охраны и границ территории"
(Зарегистрирован 05.12.2023 № 12-О/01-13)
Номер опубликования: 3501202312050002
Дата опубликования: 05.12.2023
Страница №17 из 17:
Увеличить