Официальное опубликование правовых актов
ОФИЦИАЛЬНОЕ ОПУБЛИКОВАНИЕ
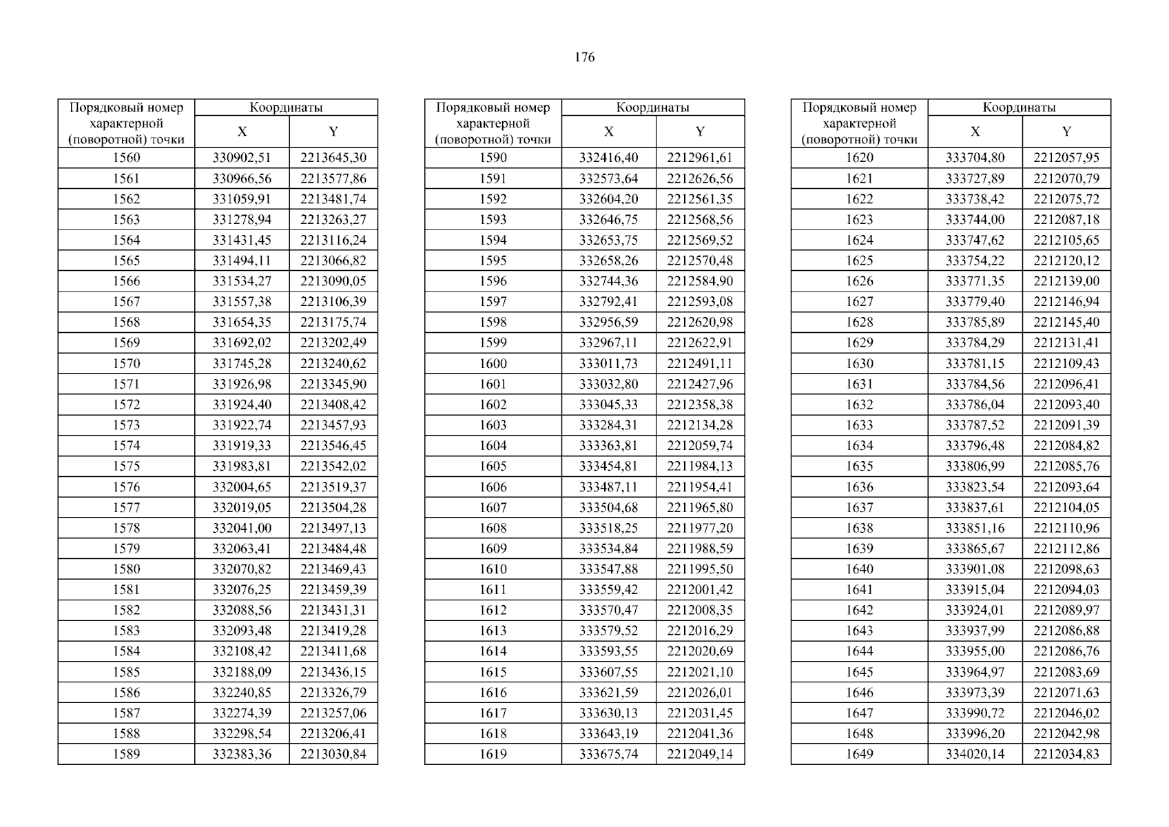
Приказ Департамента лесного комплекса Вологодской области от 02.11.2023 № 1491
"Об отнесении лесов на территории Череповецкого лесничества Вологодской области к лесам, расположенным в лесопарковых зонах, лесам, расположенным в зеленых зонах, и установлении их границ"
(Зарегистрирован 02.11.2023 № 1491)
Номер опубликования: 3501202311020009
Дата опубликования: 02.11.2023
Страница №176 из 178:
Увеличить