Официальное опубликование правовых актов
ОФИЦИАЛЬНОЕ ОПУБЛИКОВАНИЕ
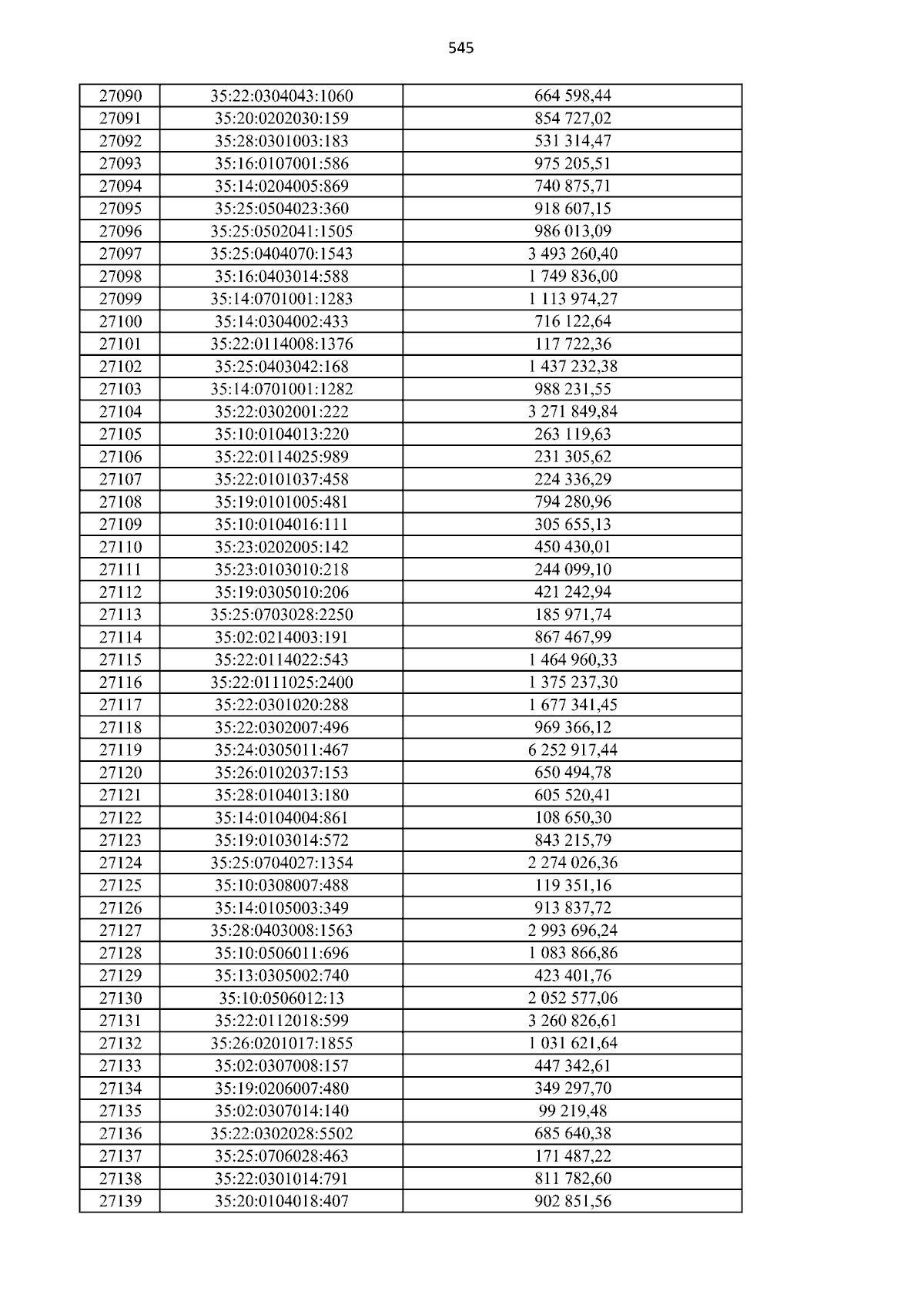
Приказ Департамента имущественных отношений Вологодской области от 27.10.2023 № 93-н
"Об утверждении результатов определения кадастровой стоимости зданий, помещений, сооружений, объектов незавершенного строительства, машино-мест"
(Зарегистрирован 27.10.2023 № 93-н)
Номер опубликования: 3501202310300029
Дата опубликования: 30.10.2023
Страница №545 из 19156:
Увеличить