Официальное опубликование правовых актов
ОФИЦИАЛЬНОЕ ОПУБЛИКОВАНИЕ
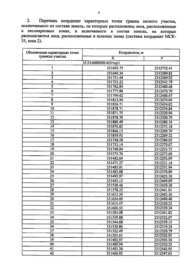
Приказ Департамента лесного комплекса Вологодской области от 27.07.2023 № 980
"Об изменении границ земель, на которых расположены леса, расположенные в лесопарковых и зеленых зонах, на территории Вологодского лесничества Вологодской области"
(Зарегистрирован 27.07.2023 № 980)
Номер опубликования: 3501202307270004
Дата опубликования: 27.07.2023
Страница №4 из 8:
Увеличить