Официальное опубликование правовых актов
ОФИЦИАЛЬНОЕ ОПУБЛИКОВАНИЕ
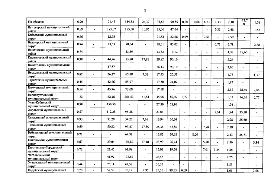
Приказ Департамента имущественных отношений Вологодской области от 06.06.2023 № 49-н
"О внесении изменений в приказ Департамента имущественных отношений Вологодской области от 3 декабря 2021 года № 110-н"
(Зарегистрирован 06.06.2023 № 49-н)
Номер опубликования: 3501202306080001
Дата опубликования: 08.06.2023
Страница №8 из 11:
Увеличить