Официальное опубликование правовых актов
ОФИЦИАЛЬНОЕ ОПУБЛИКОВАНИЕ
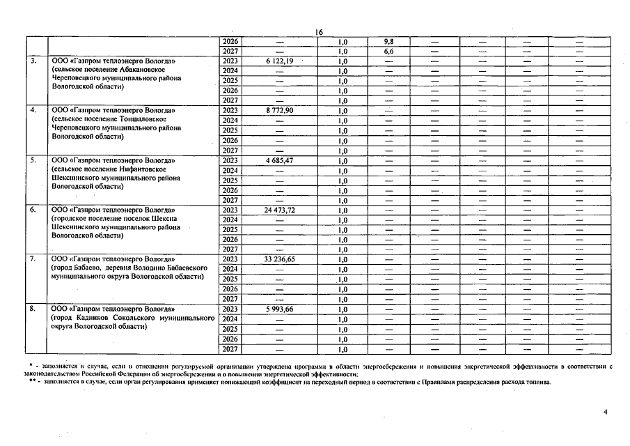
Приказ Департамента топливно-энергетического комплекса и тарифного регулирования Вологодской области от 29.11.2022 № 671-р
"Об установлении ООО "Газпром теплоэнерго Вологда" тарифов в сфере теплоснабжения"
Номер опубликования: 3501202211290015
Дата опубликования: 29.11.2022
Страница №16 из 19:
Увеличить