Официальное опубликование правовых актов
ОФИЦИАЛЬНОЕ ОПУБЛИКОВАНИЕ
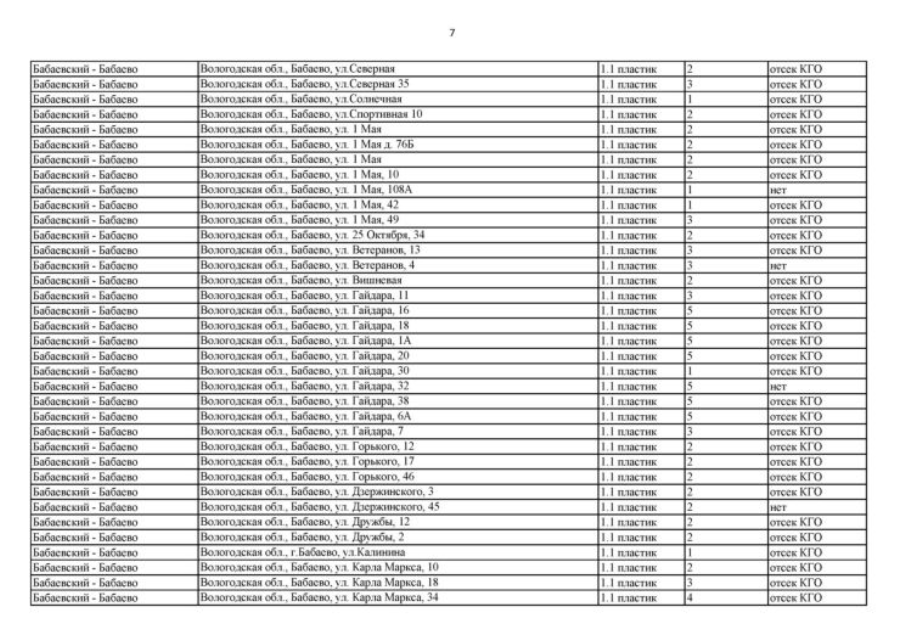
Приказ Департамента природных ресурсов и охраны окружающей среды Вологодской области от 15.10.2021 № 256
"О внесении изменения в территориальную схему обращения с отходами, в том числе с твердыми коммунальными отходами, на территории Вологодской области"
Номер опубликования: 3501202110190005
Дата опубликования: 19.10.2021
Страница №7 из 733:
Увеличить