Официальное опубликование правовых актов
ОФИЦИАЛЬНОЕ ОПУБЛИКОВАНИЕ
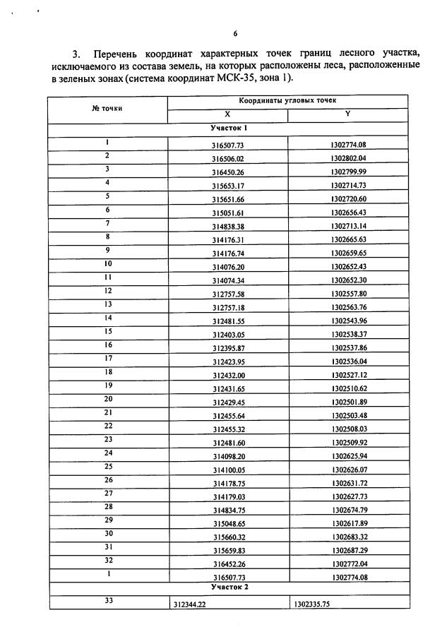
Приказ Департамента лесного комплекса Вологодской области от 18.12.2020 № 1511
"Об изменении площадей и границ земель, на которых расположены леса, расположенные в зеленых зонах, на территории Устюженского лесничества Вологодской области"
Номер опубликования: 3501202012210037
Дата опубликования: 21.12.2020
Страница №6 из 11:
Увеличить