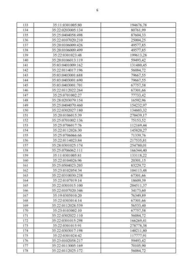
Приказ Департамента имущественных отношений Вологодской области от 20.11.2020 № 102-н
"Об утверждении результатов определения кадастровой стоимости земельных участков категории земель "земли сельскохозяйственного назначения"
"Об утверждении результатов определения кадастровой стоимости земельных участков категории земель "земли сельскохозяйственного назначения"
Номер опубликования: 3501202011270001
Дата опубликования:
27.11.2020
