Официальное опубликование правовых актов
ОФИЦИАЛЬНОЕ ОПУБЛИКОВАНИЕ
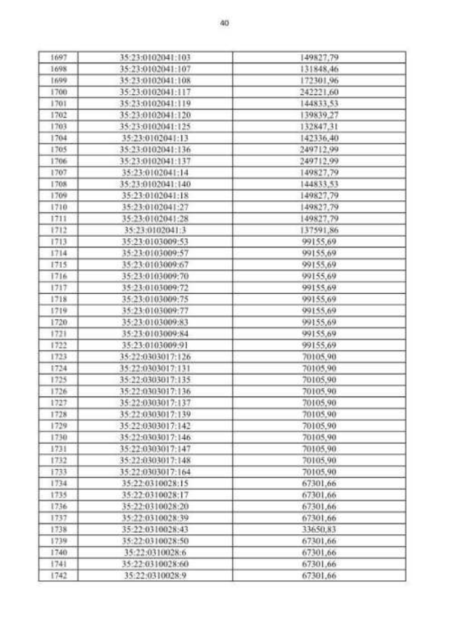
Приказ Департамента имущественных отношений Вологодской области от 20.11.2020 № 102-н
"Об утверждении результатов определения кадастровой стоимости земельных участков категории земель "земли сельскохозяйственного назначения"
Номер опубликования: 3501202011270001
Дата опубликования: 27.11.2020
Страница №40 из 2368:
Увеличить