Официальное опубликование правовых актов
ОФИЦИАЛЬНОЕ ОПУБЛИКОВАНИЕ
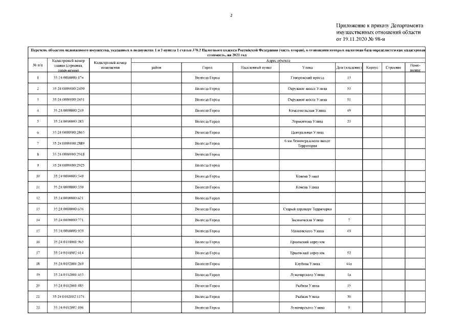
Приказ Департамента имущественных отношений Вологодской области от 19.11.2020 № 98-н
"О перечне объектов недвижимого имущества, в отношении которых налоговая база определяется как кадастровая стоимость, на 2021 год"
Номер опубликования: 3501202011250012
Дата опубликования: 25.11.2020
Страница №2 из 583:
Увеличить