Официальное опубликование правовых актов
ОФИЦИАЛЬНОЕ ОПУБЛИКОВАНИЕ
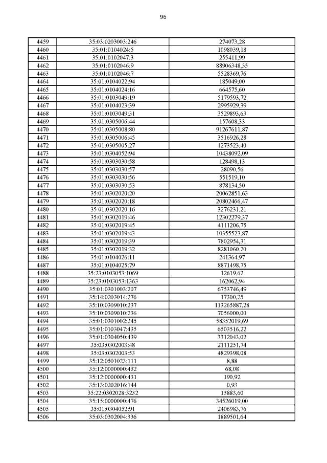
Приказ Департамента имущественных отношений Вологодской области от 20.11.2020 № 99-н
"Об утверждении результатов определения кадастровой стоимости земельных участков категории земель "земли лесного фонда"
Номер опубликования: 3501202011250008
Дата опубликования: 25.11.2020
Страница №96 из 105:
Увеличить